아스코르브산(비타민C)을 파괴하는 아스코르비나아제 [ascorbinase]가 많은 음식 가지,오이,당근, 호박
우리의 일상 식단에서 비타민 C는 빼놓을 수 없는 중요한 영양소입니다. 이 비타민은 면역 체계를 강화하고, 피부를 건강하게 유지하며, 강력한 항산화제로서 작용하여 노화를 방지하는 등 다양한 이점을 제공합니다. 하지만, 우리가 흔히 섭취하는 채소 중에는 이러한 비타민 C의 효과를 무력화시키는 성분이 포함되어 있다는 사실을 알고 계신가요? 바로 호박, 당근, 오이, 가지 등의 채소에 많이 들어 있는 아스코르비나아제(ascorbinase)라는 효소입니다.


아스코르비나아제는 비타민 C를 산화시켜 그 효과를 감소시키는 역할을 합니다. 이 효소는 비타민 C를 디히드로아스코르브산(dehydroascorbic acid)으로 변환시키는데, 이는 비타민 C의 안정성과 생리적 기능을 저하시킵니다. 따라서, 비타민 C가 풍부한 음식을 섭취할 때는 아스코르비나아제가 많은 채소와 함께 먹는 것을 피하거나 적절한 조리 방법을 통해 이 효소의 영향을 최소화하는 것이 중요합니다.
이 글에서는 아스코르비나아제가 포함된 대표적인 채소와 이로 인해 비타민 C가 파괴되는 과정을 살펴보고, 비타민 C의 효능을 유지하기 위한 방법들을 소개하겠습니다. 이를 통해 건강한 식단을 유지하고, 비타민 C의 효과를 최대한 누릴 수 있는 방법을 알아보도록 하겠습니다.
아스코르브산(비타민 C)과 아스코르비나아제
우리의 건강을 위해 필수적인 비타민 C는 여러 채소와 과일에서 쉽게 섭취할 수 있습니다. 그러나 이러한 비타민 C를 파괴하는 요소가 있다는 사실은 잘 알려져 있지 않습니다. 그 중에서도 특히 호박, 당근, 오이, 가지 등의 채소에는 아스코르비나아제(ascorbinase)라는 효소가 많이 포함되어 있습니다.

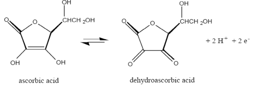
이 효소는 비타민 C를 산화시켜 디히드로아스코르브산(dehydroascorbic acid)으로 변환시키며, 이는 비타민 C의 생리적 효과를 감소시키는 결과를 초래합니다.
아스코르비나아제의 작용 원리
아스코르비나아제는 비타민 C(아스코르브산, ascorbic acid, C6H8O6)를 산화시켜 디히드로아스코르브산으로 만듭니다. 디히드로아스코르브산도 비타민 C의 일종이지만, 그 상태가 불안정하며, 대량 투여 시 실험적으로 당뇨병을 유발할 수 있는 물질로 알려져 있습니다.

이러한 불안정성 때문에 비타민 C의 생리적 효과가 감소하게 됩니다. 이는 비타민 C의 항산화 효과를 무력화시키며, 신체 내에서의 다양한 중요한 생화학적 반응에 지장을 줍니다.
아스코르브산의 생리적 역할
비타민 C는 항산화제로서 작용하여 신체 내의 산화 스트레스를 줄이고, 면역 기능을 강화하며, 콜라겐 합성에 중요한 역할을 합니다. 또한 타이로신과 페닐알라닌의 대사 과정에도 관여하여 멜라닌 생성 억제를 통해 피부 미백 효과를 기대할 수 있습니다. 하지만 아스코르비나아제의 존재로 인해 이러한 비타민 C의 효과가 저하될 수 있습니다.
아스코르비나아제가 많은 음식
호박, 당근, 오이, 가지는 아스코르비나아제가 풍부하게 들어있는 대표적인 채소들입니다. 이들 채소를 비타민 C가 풍부한 다른 식품과 함께 섭취할 경우, 비타민 C의 파괴가 일어나 영양 섭취 효과가 감소할 수 있습니다. 특히 생으로 섭취할 때 그 효과가 두드러지게 나타납니다.
비타민 C 파괴 방지 방법
비타민 C의 파괴를 막기 위해서는 아스코르비나아제가 풍부한 채소를 조리할 때 몇 가지 주의사항을 지켜야 합니다. 우선, 이러한 채소의 껍질을 제거하는 것이 좋습니다. 껍질에 아스코르비나아제가 많이 포함되어 있기 때문입니다. 또한, 생으로 먹지 않는 것이 좋으며, 조리할 때는 식초를 살짝 첨가하는 방법도 있습니다. 식초의 산 성분이 아스코르비나아제를 억제하여 비타민 C의 파괴를 줄일 수 있습니다.
포유류와 비타민 C 합성
대부분의 포유류는 체내에서 글루코스를 통해 아스코르브산을 합성할 수 있습니다. 하지만 인간과 원숭이는 이러한 능력이 없어 외부에서 비타민 C를 섭취해야 합니다. 비타민 C가 부족할 경우 괴혈병을 일으킬 수 있으며, 이는 과거에 많은 선원들이 겪었던 질병으로 잘 알려져 있습니다.
비타민 C와 아스코르비나아제의 관계
비타민 C는 산화효소의 작용으로 산화되면 디히드로아스코르브산이 되며, 이러한 가역 반응을 통해 신체 내의 산화와 환원을 일정하게 유지시키는 역할을 합니다. 그러나 아스코르비나아제의 존재로 인해 이러한 가역 반응이 방해받을 수 있으며, 이는 비타민 C의 효능을 저하시킵니다.
결론
아스코르비나아제가 함유된 채소를 섭취할 때는 비타민 C의 파괴를 최소화하기 위해 조리 방법에 신경 써야 합니다. 껍질을 제거하거나 식초를 사용하는 등의 방법을 통해 비타민 C의 효과를 유지할 수 있습니다. 이러한 조치를 통해 우리의 건강을 더욱 효과적으로 지킬 수 있을 것입니다.
'건강정보 > 식품 효능 부작용' 카테고리의 다른 글
| 보리수 효능 알아보기 (0) | 2025.07.21 |
|---|---|
| 오메가 3 효능: 건강에 미치는 다양한 효능 (0) | 2025.05.21 |
| 눈떨림에 좋은 음식 (0) | 2025.02.21 |
| 보이차 효능과 부작용, 마시는 법 (0) | 2025.02.20 |
| 매스틱 효능, 부작용 (0) | 2024.12.16 |