2021년 공무원 봉급표 및 2021 교원 호봉표
2021년이 이미 3월 말을 향하고 있습니다. 시간이 빠르게 흐르고 있으며, 다가오는 연봉 인상에 대한 기대와 관심이 높아지고 있습니다. 특히, 공무원 직업은 여전히 많은 사람들에게 인기가 높으며, 높은 경쟁률을 자랑합니다. 오늘은 2021년 공무원 봉급표와 교원 호봉표에 대해 자세히 알아보겠습니다.
2021년 공무원 봉급표
2021년도 공무원 봉급 인상률은 0.9%로 발표되었습니다. 아직 2022년 공무원 봉급표가 발표되지 않았지만, 우리는 이미 2021년의 봉급표를 살펴볼 수 있습니다.
9급 1호봉
2021년 공무원 봉급표에서 9급 1호봉의 경우 약 167만원으로 인상되었습니다. 이러한 9급 1호봉은 경찰공무원, 소방공무원, 의무경찰의 봉급표와도 일치합니다.
경찰 공무원 봉급표
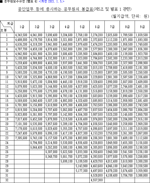
2021년도 경찰 공무원 봉급표를 살펴보면, 경찰 순경 1호봉이 일반직 9급 공무원 1호봉과 동일한 약 167만 원임을 알 수 있습니다. 이 급여는 마약 수사관, 국정원 직원 직렬인 공안직 9급 공무원 1호봉 월급과도 일치합니다.
2021 교사 호봉표
이어서, 교육분야에서의 봉급표도 살펴보겠습니다. 2021 교사 호봉표에는 다양한 레벨의 호봉이 포함되어 있습니다.
정교사 2급
교대나 사범대 출신의 정교사 2급 자격증 소지자는 2021년 교사 월급 초봉이 203만 원 정도 됩니다. 이것은 교육 분야에서의 교원들에게 적용되는 봉급표 중 하나입니다.
이로써, 2021년 공무원 봉급표와 교원 호봉표에 대한 간략한 소개를 마치겠습니다. 아직 2022년 봉급표에 대한 자세한 정보는 나오지 않았지만, 공무원과 교사분들에게는 계속해서 최신 정보를 확인하고 준비하는 것이 중요할 것입니다.
마무리로, 미래를 위한 경제적인 계획을 세우기 위해서는 봉급표와 연봉 인상률에 대한 이해가 필수적입니다. 앞으로의 계획에 도움이 되었기를 바랍니다.
끝으로, 이 블로그 포스팅이 도움이 되었길 바라며, 미래의 공무원과 교사분들에게 행복하고 안정된 경력을 기원합니다.
2021년 공무원 봉급표

2021 공무원 봉급표에서 9급 1호봉의 경우 약 167만원으로 인상되었습니다.
9급 1호봉은 경찰공무원, 소방공무원 및 의무경찰의 봉급표 또한 0.9% 인상된 순경 1호봉 급여와 같습니다.
2021년 소방공무원 봉급표 경찰 공무원 봉급표

2021 경찰 월급 순경 1호봉은 일반직 9급 공무원 1호봉과 같은 약 167만 원입니다.

이는 마약 수사관, 국정원 직원 직렬인 공안직 9급 공무원 1호봉 월급과도 같습니다.
다음은 유치원, 초등학교, 중학교, 고등학교 교원 등 2021년 교육공무원 봉급표입니다.

2021 교사 호봉표를 보면 1호봉부터 있지만, 교대나 사범대 출신의 정교사 2급 자격증 소지자는 8호봉부터 시작하게 되므로 실질적인 2021년 교사 월급 초봉은 203만 원 정도 됩니다.
지금까지 2021 공무원 호봉표를 알아보았습니다.
'공무원 정보' 카테고리의 다른 글
| 2024년 군인 봉급표 2024 준위 월급 육군 항공준사관 연봉 항공수당 (2) | 2024.01.15 |
|---|---|
| 교사 교육공무원 특별휴가 규정 공무원 경조사휴가 (0) | 2021.04.15 |
| 2021년 장관 월급 2021 대통령 연봉 국무총리 포함 (0) | 2021.03.25 |
| 2020년 군인 봉급표 부사관, 간부, 장교 2020 직업군인 월급 (0) | 2019.11.27 |
| 2018년 경찰공무원 봉급표 경사, 순경 월급 (0) | 2018.08.30 |